You are here
Γ. Χατζημάρκος για Γκολφ Αφάντου: «Η χώρα παραπαίει μεταξύ αυτοκαταστροφής και αυτογελοιοποίησης»
Η αναμέτρηση ιδεοληπτικών ομάδων, στο επίπεδο ξεκαθαρίσματος εσωτερικών λογαριασμών, μετατρέπει τη χώρα σε παγίδα επενδυτών
Πράξη καταστροφική με πολυεπίπεδες επιπτώσεις όχι μόνο για το νησί της Ρόδου, αλλά, γενικότερα, για ολόκληρη την χώρα, χαρακτήρισε ο Περιφερειάρχης Νοτίου Αιγαίου κ. Γιώργος Χατζημάρκος την απόφαση του Υπουργείου Πολιτισμού να χαρακτηρίσει ως αρχαιολογική ζώνη έκταση 10.000 στρεμμάτων στο Γκολφ Αφάντου, η οποία ματαιώνει την εν εξελίξει διαδικασία αξιοποίησης της περιοχής.
Στην διάρκεια συνέντευξης Τύπου ο κ. Χατζημάρκος είπε: “Το νησί της Ρόδου περιμένει επί δεκαετίες την αξιοποίηση του Γκολφ Αφάντου, που τόσο έχει ανάγκη. Μια επένδυση που πέρασε δια πυρός και σιδήρου, τινάζεται στον αέρα, λίγο πριν μπει στην φάση της υλοποίησης. Πρόκειται για μια εξαιρετικά αρνητική εξέλιξη. Προκαλεί σοκ η επιπολαιότητα με την οποία ελήφθη, χωρίς εκείνοι που την έλαβαν να αντιλαμβάνονται το κακό που κάνουν στη Ρόδο αλλά και στην Ελλάδα συνολικά. Η ελληνική πολιτεία με αποφάσεις όπως αυτή, στέλνει διεθνώς το καθόλα αρνητικό μήνυμα της έλλειψης σοβαρότητας που αγγίζει τα όρια της φαιδρότητας και της γελοιοποίησης, ενώ παράλληλα συμβάλει στην εμπέδωση ενός εχθρικού επενδυτικού περιβάλλοντος και δείχνει τον δρόμο της φυγής σε κάθε πιθανό επενδυτή, σε μια που η χώρα έχει ανάγκη τις επενδύσεις για να βγει από το τέλμα”.
“Αν η απόφαση αυτή, που καμία λογική δεν την υπαγορεύει, παρά μόνο η ανοησία και η επικίνδυνη ιδεοληψία ανθρώπων που αρνούνται πεισματικά να δουν την πραγματικότητα, δεν ανακληθεί άμεσα, θα έχει εγκληματικές επιπτώσεις για το νησί της Ρόδου και για την αναπτυξιακή προοπτική του, την ώρα μάλιστα που η Περιφέρεια Νοτίου Αιγαίου καταβάλλει τιτάνια προσπάθεια προσέλκυσης επενδύσεων για την αναβάθμιση του τουριστικού προϊόντος και την δημιουργία νέων θέσεων εργασίας” ανέφερε ο κ. Χατζημάρκος και πρόσθεσε ότι “ενώ η χώρα κρέμεται στην άβυσσο από μια κλωστή, κάποιοι μέσα στην κυβέρνηση, προσκολλημένοι στο παρελθόν, χωρίς καμία συναίσθηση της πραγματικότητας, προτιμούν να επιδίδονται σε ληστρικές φορολογικές επιδρομές, να εξαντλούν την ελληνική κοινωνία με συνεχή μέτρα λιτότητας και να προτάσσουν παρωχημένες και ξεπερασμένες από την ίδια τη ζωή αντιλήψεις, αντί να δουν σοβαρά και με την υπευθυνότητα που απαιτούν οι περιστάσεις τις επενδύσεις, ως την μόνη διέξοδο από την κρίση”
Ως προς τις επιπτώσεις που θα επιφέρει η απόφαση του Υπουργείου Πολιτισμού για το νησί της Ρόδου, ο κ. Χατζημάρκος τόνισε: “Το νησί γίνεται και πάλι στόχος, δέχεται ένα ακόμη πλήγμα στα τόσα που έχει υποστεί τα τελευταία χρόνια. Αποφάσεις έωλες, αστήρικτες και καταστροφικές για την κοινωνία, την οικονομία και την ανάπτυξη, όπως αυτή για το Γκολφ Αφάντου, έφεραν τα νησιά του Νοτίου Αιγαίου στο χειρότερο σημείο των τελευταίων δεκαετιών, να έχουν χάσει το μεγαλύτερο ποσοστό του κατά κεφαλήν ΑΕΠ από όλες τις Περιφέρειες της Ευρώπης. Δυστυχώς συνεχίζουν ακάθεκτοι και με μανία καταστροφική. Και σε αυτήν την πρόκληση που δέχεται ο τόπος, θα κάνουμε για μια ακόμη φορά το χρέος μας, υπερασπιζόμενοι το μέλλον και την προοπτική του”.
Ήδη ο κ. Χατζημάρκος απέστειλε επιστολή προς την κυβέρνηση, απευθυνόμενος στον Αντιπρόεδρο της Κυβέρνησης κ. Γιάννη Δραγασάκη, στους Υπουργούς Επικρατείας κκ Νίκο Παππά και Αλέκο Φλαμπουράρη, στον Υπουργό Οικονομικών κ. Ευκλείδη Τσακαλώτο, στον Υπουργό Οικονομίας, Ανάπτυξης και Τουρισμού κ. Γιώργο Σταθάκη, Αναπληρωτή Υπουργό Οικονομικών κ. Τρύφωνα Αλεξιάδη και στην Αναπληρώτρια Υπουργό Τουρισμού κ. Έλενα Κουντουρά, όπου αναφέρει μεταξύ άλλων τα εξής:
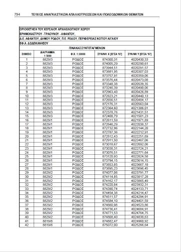
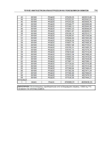
«Μια απλή εξέταση του χάρτη που συνοδεύει την εν λόγω απόφαση, καταδεικνύει ότι πλέον έχει χαρακτηριστεί ως αρχαιολογικός χώρος το σύνολο της προς αξιοποίηση έκτασης που αφορά στην επένδυση, γεγονός που δεν μπορεί να διαφεύγει της γνώσης των εμπνευστών της εν λόγω απόφασης ότι θέτει σε αμφισβήτηση το σύνολο του εγχειρήματος, για το οποίο η Κυβέρνηση έχει αναλάβει την δέσμευση να υλοποιήσει.
Ευελπιστούμε ότι έστω τώρα, την ύστατη στιγμή, θα γίνουν αντιληπτές οι καταστροφικές επιπτώσεις της ανωτέρω απόφασης του Υπουργείου Πολιτισμού και θα γίνουν οι αναγκαίες διορθωτικές ενέργειες, άλλως πραγματικά αναρωτιόμαστε τι πια μπορούμε να περιμένουμε από μια τέτοια Πολιτεία …
Θέλουμε να πιστεύουμε ότι η αξιοπιστία της πατρίδας μας είναι μία υπόθεση και ένας στόχος που μας αφορά όλους».












